O controle é totalmente possível, pois há uma conta para cada finalidade. Embora o Fundo de Saúde da Secretaria funcione de forma arcaica e com verba engessada, a transparência destas contas seria de suma importância para dirimir quaisquer dúvidas sobre evasão de recursos de forma emergencial.
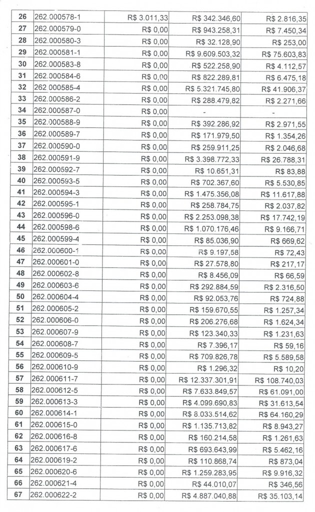
Por que algumas contas, das mais de (200) duzentas, ficam sem movimentação?
Como foram consumidos os recursos da Atenção Básica nos últimos (05) anos? E como foi gasto o seu superávit? Foi utilizado para compra de medicamentos, pagamentos de vigilância e lavanderias?
Precisamos saber quais são as prioridades; Atenção Básica, Média ou Alta Complexidade!







